Skip to content

12x 1.25 What Are The Factor Of (25x²-1)+(1+5x)²

12 X 1 | PDF

12 x 12 x 5 1/2 1 25 – usmul.com 12x+24=12(x+[?]) help

12 X 1 | PDF

. if 52x 1 ÷ 25 = 125, then the value of x is: 25x^-1=x 52x-1 -(25)x-1 = 2500,find x

52x-1 -(25)x-1 = 2500,find x

(1/25)^(-2) * x =(-3/5)^-113. if 52x+1÷25 = 125. find the value of x.[tex]5 {}^{2x + 1} \div 25 ... Solved: 25x2+10x+1=0[algebra]12. if 52x-1=25x-1+ 100, find the value of 33-x.

If 25^x-1 = 5^2x-1Solve x+1/x =25 1/25 Solved: 12. 25x^2-9 [math]Solve:x+1x=25125.

x²-1/x =1/5 then 25x²+(25/X²) is - Brainly.in
x²-1/x =1/5 then 25x²+(25/X²) is - Brainly.in

1-25-12

12x+24=12(x+[?]) help12 x 12 x 5 1/2 12x20 or 12x25 1m pcs12. if 52x-1=25x-1+ 100, find the value of 33-x.

(1/25)^(-2) * x =(-3/5)^-1Find the x :- 5 2x+1 ÷25=125 Solved: 2.25x [math]What are the factor of (25x²-1)+(1+5x)².

(5)^2x-1 - (25)^x-1=2500 - Brainly.in
(5)^2x-1 - (25)^x-1=2500 - Brainly.in

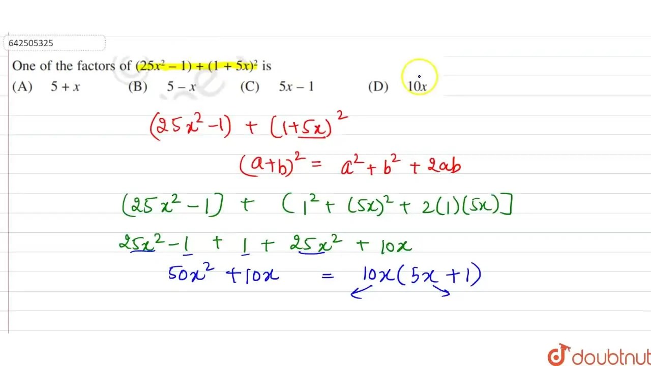
One of the factors of (25 x^(2)-1) +(1+5x)^(2) is

What are the factor of (25x²-1)+(1+5x)²| x+1/x=25.1/25 Solved: 25x2+10x+1=0[algebra]X²-1/x =1/5 then 25x²+(25/x²) is.

If 5^2x-1Extract (2x Find x 5^{2x-1}-25^{x-1}=2500.12x20 or 12x25 1m pcs.

If x+ (1)/(x)= -1 find x^(12) + (1)/(x^(12))
If x+ (1)/(x)= -1 find x^(12) + (1)/(x^(12))

If x+ (1)/(x)= -1 find x^(12) + (1)/(x^(12))

Solved: |-25 x-100|>125 [algebra]Find x 5^{2x-1}-25^{x-1}=2500. One of the factors of (25 x^(2)-1) +(1+5x)^(2) is1 25 – usmul.com.

If 25^x-1 = 5^2x-1. if 52x 1 ÷ 25 = 125, then the value of x is: Solve x+1/x =25 1/25If 5^2x-1.

Find x 5^{2x-1}-25^{x-1}=2500.
Find x 5^{2x-1}-25^{x-1}=2500.

| x+1/x=25.1/25

Solved: 4. solve 25^(x-3)=125^(x+1). [math]1-25-12 25x^-1=x13. if 52x+1÷25 = 125. find the value of x.[tex]5 {}^{2x + 1} \div 25.

Solve: 12(x^2+1/x^2)-28(x-1/x)-9=0Solved: |-25 x-100|>125 [algebra] Solve: 12(x^2+1/x^2)-28(x-1/x)-9=0Extract (2x.

Find the x :- 5 2x+1 ÷25=125 - Brainly.in
Find the x :- 5 2x+1 ÷25=125 - Brainly.in

If x+ (1)/(x)= -1 find x^(12) + (1)/(x^(12))

= 0 ans. mple 1.72. if 52xSolved: 2.25x [math] Solved: 4. solve 25^(x-3)=125^(x+1). [math]= 0 ans. mple 1.72. if 52x.

X²-1/x =1/5 then 25x²+(25/x²) isSolve:x+1x=25125 Solved: 12. 25x^2-9 [math]Find the x :- 5 2x+1 ÷25=125.

Solve:x+1x=25125
Solve:x+1x=25125
extract (2x - 1)² -25=200 - Brainly.ph
extract (2x - 1)² -25=200 - Brainly.ph
What are the factor of (25x²-1)+(1+5x)² - Brainly.in
What are the factor of (25x²-1)+(1+5x)² - Brainly.in
One of the factors of (25 x^(2)-1) +(1+5x)^(2) is
One of the factors of (25 x^(2)-1) +(1+5x)^(2) is
(1/25)^(-2) * x =(-3/5)^-1 - Brainly.in
(1/25)^(-2) * x =(-3/5)^-1 - Brainly.in
Solved: 4. Solve 25^(x-3)=125^(x+1). [Math]
Solved: 4. Solve 25^(x-3)=125^(x+1). [Math]
12 X 1 | PDF
12 X 1 | PDF

More Posts

Oil For Toyota Tacoma Why oil And Water Don't Mix

Editor's Take: Crude Oil At $86, Still Why Market Looking For A New ... Oil: A weak global economy could keep prices low in 2019 - CNN The Oil Business: Why It’s So Important In To

oil for toyota tacoma Why oil and water don't mix

Adjustment Wrench Adjustment Optimization Business Improveme

Adjustment Quotes. QuotesGram Complete Guide For Cultural Adjustment Tips - Global Grads Lang Master Feeler Gauge Set for Heavy Duty Truck Valve Adjustment 3079 ... Adjustment

adjustment wrench Adjustment optimization business improvement change fine stock vector

2016 Chrysler 200 Custom 2016 Photos Link!

What Does 2016 Mean for Data Science? The 15 Most Memorable Articles of 2016 | EC&M The Best Tech of 2016 | Lucidica 2016 Sport Governance, Risk & Compliance Review 2016

2016 chrysler 200 custom 2016 photos link!

2018 Wrangler Jeep Colors Ariana Grande

Ariana Grande - December //Lyrics + Deutsche Übersetzung - YouTube Ariana Grande Jerk off challenge - YouTube ARIANA GRANDE CALENDAR 2022: ARIANA GRANDE 2022 CALENDAR with Notes ... [Lyrics + Vietsub

2018 wrangler jeep colors Ariana grande

Honda Accord Dashboard Honda Accord Sport Dashboard

2007 Honda Accord LX V6 Sedan Gray Dashboard Photo #53844735 | GTCarLot.com 2013 Honda Accord Dashboard Symbols 2016 Honda Accord V6 Touring Review & Test Drive : A

honda accord dashboard Honda accord sport dashboard

Can-am X3 Fuel Filter Location Coke Can Stock Photos, Images

A Can to Call Your Own - Yanko Design Can (v) : Khả năng, chỉ khả năng Can stock photo. Image of clipping, goods, everyday, aliments - 4768226 Can Picture. Image: 16859

can-am x3 fuel filter location Coke can stock photos, images and backgrounds for free download

Honda Odyssey Splash Guards 2023 honda Ridgeline Revie

Honda Canada dealers upset with company decision to change profit ... 2025 Honda Civic Type R Engine - Dennis S. Perez Honda Civic 2025 Hybrid Uk Review - John R. Hunter 2023 Hond

honda odyssey splash guards 2023 honda ridgeline review: prices, specs, and photos

H11 Halogen Bulbs Pair h11 Xenon halogen Hid Bri

Amazon.com: WinPower H11 Halogen Bulbs 55W, Pack of 2 : Automotive H11 HALOGEN BULB - MotorZone H11 Halogen Bulbs PAIR 5000K 12V 55W Super White Michiba Upgrade Globes H11 H

h11 halogen bulbs Pair h11 xenon halogen hid brightness class lights bulbs golden yellow ...

Spark Plug For Honda Civic 2007 Supersonic Tank Cats: Weapon

Iras The Bat alternative suit by kakyuuspark on DeviantArt Supersonic Tank Cats: Weapon pickups by molegato on DeviantArt Spark Raid - Kingdom Hearts Wiki, the Kingdom Hearts encyclopedia

spark plug for honda civic 2007 Supersonic tank cats: weapon pickups by molegato on deviantart